Skip to main navigation Skip to main content Skip to page footer

physical basics

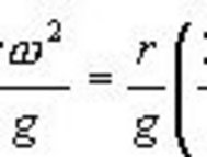
The centripetal acceleration, developed inside the experimental set-up, depends on the radius " r " and angular speed of " ω ".

The term G- value is commonly used for the acceleration due to gravity. The G-factor is defined as the multiple of the gravitational constant that is obtained in the centrifuge.

r = experimental set-up inner radius (meters)
ω = angular speed (radian/sec)
g = gravitational acceleration (9.81 m/sec2)
n = experimental set up speed (RPM)
1 radian = 57.3°
360°= 2π radian

Consequently the centripetal acceleration or G-value will increase with the experimental set-up diameter and experimental set-up speed.


click on picture to start gif-animation (5,2 Mb !!)
        
revolution 0-67 min-1 min-1
mass 0-500 kg kg
radius 500-600 cm cm
centripetal force N
centripetal acceleration g